


近い値の振動数
,
を持った2つの進行波
![]()
![]()
を重ね合わせる。
![]()
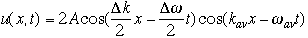
三角関数の公式を用いると
ここで
, ![]()
であり、
は振幅が
![]()
と変調したうなりである。
この空間的なうなりの構造は
![]()
と変形すると
![]()
今、
,
なので
を群速度とよび、これは空間的なうなりが移動する速度を示している。
位相速度の近い2つの進行波(水色・黄緑色)によるうなり(赤色)のアニメーション
分散関係のグラフの傾きと合成波の速度(群速度)の対応に注目